2005年房地產估價師考試《房地產估價案例與分析》參考答案
來源:網絡發布時間:2009-06-16
一、問答題
(一)答:
1.在估價程序上應特殊注意:
(1)被拆遷人不允許估價人員進入酒樓實地查勘,估價人員應做好無利害關系第三人見證工作(未說明無利害關系給0分)并在報管中做出相應說明。
(2)估價機構應將分戶初步估價結果向被拆遷人公示7日,并進行現場說明。
(3)公示期滿后一估價機構將整體估價報告和分戶估價報告提交委托人并由委托人向被拆遷人轉交分戶報告。
2.被拆遷房屋室內自行裝飾裝修補償金額由拆遷人和被拆遷人協商確定:協商不成的,可以通過委托評估機構確定。
3.拆遷估價不考慮房屋租賃因素的影響。(或按完全產權評估)
(二)答:
1.估價機構沒有義務將估價結果告知借款企業:估價機構應將評估結果提交法院,由法院將評估結果告知債權債務執行雙方當事人(或:①估價機構不需要向委托方之外的第三方提供估價結果;②估價機構僅對委托人負責;③法院是委托人,借款企業不是委托人)。
2.拍賣保留價由法院確定,應以評估價格為基礎確定。
3.應注意以下費用:
(1)拍賣機構傭金;
(2)補繳土地使用權出讓金;
(3)房地產交易相關稅費;
(4)估價機構的評估費用;
(三)答
1.錯誤
(1)由于三個交易實例經營規模不同,其中與估價對象房地產經營規模差異較大的交易實例不宜作可比實例;
(2)未說明三個交易實例的凈收益是否屬于客觀收益;
(3)不應采用年總凈收益,而應采用單位面積的年凈收益;
(4)不應選用350萬元作為估價對象的年凈收益(或應采用三個可比實例的平均值作為估價對象的年凈收益)
2.具體可選擇過去數據簡單算術平均法,未來數據簡單算術平均法,或未來數據資本化公式法確定。
二、單項選擇題
(一)1.A
2.D(關于凈收益的,D為利潤總額、折舊和財務費用,再扣減商業利潤)
3.C
4.D(關于保險評估3500萬元的,D為保險金額不能超過3500萬元)
(二)5.B(關于小區減值的,B為綠地率減少)
6.D(關于小區增值的,D為交通條件改善)
7.C(關于小區估價的,C為改變前后分別估價,求差額)
(三)8.B(關于出幾個報告的,B為出兩份報告)
9.A(關于甲乙廠區估價的,A為甲乙廠區的房產和土地都要估價)
10.B(關于乙廠區土地估價的,B為市場價格扣減土地出讓金)
三、指錯題
1.結果報告缺估價原則;
2.結果報告中缺少估價方法定義;
3.技術報告缺市場背景分析;
4.假設開發法公式錯,未扣除銷售費用、開發利潤和購買待開發房地產應負擔的稅1
5.市場法中個別因素修正錯誤,修正系數取值與個別因素描述不一致;
6.可比實例B、C與估價對象的土地等級不同,未作修正(應加以修正);
7.開發完成后總價計算有錯誤,未分析或說明地下室設備用房部分面積是否計入總面積;或地下室面積不能對外銷售,未說明可比實例是否也是一樣;
8.續建工程中的建安工程費900元/m2,是否與實際工程進度相符未作說明(或續建取值900元/m2缺少具體說明);
9.假設開發法中未扣除轉業費、開發過程中的稅費;
10.假設開發法中未扣減利息;
11.假設開發法計算開發利潤的直接成本利潤率不應采用××置業公司的;
12.假設開發法計算開發利潤計算錯誤,未計算購買估價對象的投資利潤;
13.成本法基礎設施配套費計算有誤,建筑面積取值不對;
14.成本法中管理費用計算基數錯,其中未計土地取得成本;
15.成本法中投資利息計算基數錯,其中未計土地取得成本;
16.成本法中投資利息的計息周期不應該是整個項目開發周期;
17.成本法中應該考慮銷售稅費;
18.成本法中開發利潤的計算基數錯,其中未計土地成本;
19.估價結果的確定過程缺少必要的綜合考慮,或理由不充分;
20.估價結果缺少單價。
四、改錯題
1.有效毛收入的計算不應包括物業費
22000×50×12×(1-10%)=11880000元
2.管理用房未出租不應算空置
年管理費用=年有效毛收入×3%=13068000×3%=392040元
3.遺漏房產稅
房產稅:有效毛收入×12%=13068000×12%=1568160元
年費用合計:
4項:1000000+356400+725274+1425600=3507274元
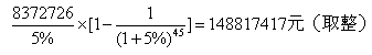
年凈收益=11880000-3507274=8372726元
4.估價結果中計算收益年限取值錯誤,應為45年。

房地產估價師 一次通過考試! 咨詢:010-51294794
2012年房估師VIP套餐 考試不過免費重學! 咨詢:010-51294794
課程名稱 |
老 師 | 精講班 | 考題預測班 | 模考試題班 | 全真模擬考場 | 報名 |
| 房地產基本制度與政策 | 黑敬祥 | 66講 |
10講 |
2套 |
全真摸底評測 評測后名師點評 不單獨出售 VIP套餐專享 |
|
| 房地產開發經營與管理 | 史貴鎮 | 50講 |
10講 |
2套 |
||
| 房地產估價理論與方法 | 史貴鎮 | 50講 |
10講 |
2套 |
||
| 房地產估價案例與分析 | 史貴鎮 | 50講 |
10講 |
2套 |
||
全科VIP套餐:四科目精講班+考題預測班+模考試題班;贈全真模擬考場+考后名師點評+第二年免費重學 詳情>> |
||||||
單科VIP套餐:單科目精講班+考題預測班+模考試題班;贈全真模擬考場+考后名師點評+第二年免費重學 詳情>> |
||||||
全科折扣套餐:四科目精講班=960元/套 (原價1200元);全部四科考題預測班=640元/套(原價800元) 查看>> |
||||||
單科學費:精講班300元/科,考題預測班200元/科,模考試題班100元/科;老學員兩科以內九折,三科及以上八折! 查看>> |
||||||

